Calcul des dates
Il consiste à définir en unités de temps ouvrées ,cumulées depuis l'origine du réseau,la date de début au plus tôt (DTO) et la date defin au plus tôt (FTO) que l'on peut prévoir pour chaque tâche.
En prenant comme hypothèse que toutes les tâches précédentes ont été réalisées au plus tôt et que les liaisons entre les tâches sont du type fin-début de délai nul.
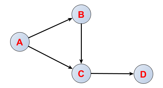
Prenons l'exemple de quatre tâches A,B,C et D de durées respectives 5,2,3 et 4 jours . B ayant pour antécédent A,C ayant pour antécédent A et B, D ayant pour antécédent C.
Le graphe sagital est donc le suivant :

On calcul dans un premier temps les dates au plus tôt de la tâche A :
elle se trouve au début de projet la date de début au plus tôt (DTO) sera donc de 0, pour déterminer la date de fin au plus tôt (FTO) :
FTO = DTO + D
FTO (A) = DTO (A) + D(A) = 0 + 5 = 5
D étant la durée de la tâche

On calcule les dates au plus tôt de B et C

Calcul des dates de B :
DTO (B) = FTO (A) car nous sommes dans l'hypothèse que les liaisons entre les tâches sont du type fin-début de délai nul.
Pour calculer FTO (B) le principe est identique à celui de A :
FTO (B) = DTO (B) + D (B) = 5 + 2 = 7
Calcul des dates de C :
C a deux antécédents A et B sa date de début au plus tôt peut donc être la date de fin au plus tôt de A ou de B.
Comme elle ne peut débuter que lorsque A B sont finies sa date de début au plus tôt sera donc la plus grande des deux dates de fin au plus tôt :
DTO (C) = FTO (B) = 7
Pour calculer FTO (C) le principe est identique à celui de A :
FTO (C) = DTO (C) + D (C) = 7 + 3= 10

Sur le diagramme précédent il est évident que la tâche C ne peut commencer avant la fin de B (7 jours à partir du début) et que la DTO (C) = FTO (B).
En résumé la technique de calcul des dates au plus tôt est la suivante :
Partant de la tache de début, il s'agit de calculer de la gauche vers la droite les dates au plus tôt pour cela il suffit de respecter les deux règles :
- la date de début au plus tôt d'une tâche est égale à la plus grande des dates de fin au plus tôt des tâches qui la précèdent.
- la date de fin au plus tôt est ensuite obtenue en additionnant la durée de la tâche à sa date de début au plus tôt.
Reprenons l'exemple du cours précédent où à partir du tableau des antériorités nous avons établi le graphe sagital.
Tâches | Prédécesseurs | Durée |
|---|---|---|
A | 1 | |
B | E | 6 |
C | E | 3 |
D | A | 2 |
E | A | 8 |
F | D, E | 2 |
G | B | 5 |
H | G | 7 |
I | J, C, H, F | 2 |
J | A | 4 |
Graphe sagital :
En reprenant le principe de calcul des dates aux plus tôt cela donne le schéma :
Remarque :
Seules les tâches F et I ont plus d'un antécédent, leur date de début au plus tôt est donc la plus grande des dates de fin au plus tôt des tâches précédentes (respectivement 9 et 27).
Pour toutes les autres tâches la date de début au plus tôt est la date de fin au plus tôt de la tâche précédente.
Le projet sera donc fini au plus tôt 29 jours après le début.
Si plusieurs tâches n'avaient pas comme I de tâches suivantes, elles ne deviendraient pas d'autres tâches de fin car un projet n'a qu'une fin.

