A nous les crêpes ...
Et voici la recette :
Étapes | Tâches | Durée (secondes) | Prédécesseurs |
|---|---|---|---|
A | Mettre la farine | 3 | |
B | Mettre deux œufs | 30 | A |
C | Ajouter le lait et mélanger | 600 | B |
D | Mettre du rhum dans une poêle | 3 | |
E | Couper les bananes | 300 | |
F | Les mélanger au rhum | 30 | D, E |
G | Faire chauffer le mélange | 120 | F |
H | Faire flamber | 10 | G |
I | Faire cuire une crêpe | 10 | C |
J | Verser le mélange sur la crêpe | 10 | I, H |
K | Manger | J |
Question
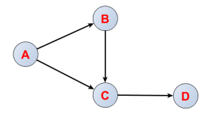
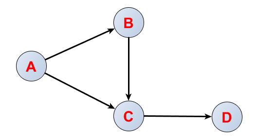
Dessiner le réseau de PERT sous ce format :
Indice
Penser à la durée, date au plus tôt, date au plus tard ...
Question
Dessiner le réseau de Gantt
Trouver le chemin critique


